Global Lithuanian Net:    san-taka station:
Kelionės laike  

Taip pat skaitykite Kaip sukurti laiko mašiną?  

Idėjos apie kelionę laiku ištakos nežinomas. Paminėjimai gilioje senovėje siekia indų „Mahabharatą“, datuojamą maždaug 9 a. pr.m.e., žydų Talmudą (apie 300 m.), japonų „Nihongi“ (apie 700 m.), o šiuolaikinis klasikinis pasakojimas prasideda nuo H. Velso „Laiko mašinos“ (1895). Tačiau visi jie apie kelionę į ateitį.

O vienu ankstyviausių kūrinių apie kelionę į praeitį yra Samuel Madden‘o1) „20 amžiaus memuarai“ (1733). Šių dienų kūriniuose keliaujama abiem kryptimis ir ryškiausi to pavyzdžiai TV serialas „Daktaras Kas“ (pasirodęs 1963 m.) ir ciklas „Atgal į ateitį“ (pradėtas 1985 m.).

Kelionės į ateitį turi tvirtą mokslinį pagrindą. Specialioji reliatyvumo teorija (SRT) turi aiškius sprendinius, atitinkančius kelionę į ateitį. Tai liudija ir garsusis dvynių paradoksas. Tokia kelionė laiku buvo eksperimentiškai patvirtinta, pvz., su laikrodžių pora, kurių vienas randasi lėktuve – ir skridęs laikrodis užfiksavo santykinį 10-7 sek. uždelsimą lyginant su stacionariu laikrodžiu.

Kelionė į praeitį yra fizikos požiūriu yra ginčytina ir negalima. SRT formaliai vykti į praeitį leidžia tik objektams, judantiems didesniu už šviesą greičiu. Ir specialioji, ir bendroji (BRT) reliatyvumo teorijos galimybė to , kad objektai gali judėti uždaromis laiko kilpomis, nurodo kelionės į praeitį galimybę. Sprendiniai su laiko kilpomis buvo rasti BRT su populiariais atvejais, įskaitant Giodelio visatą2), keliones per juodąsias skyles bei sliekanges bei kosminių stygų sukimąsi. Dauguma fizikų laiko tokius sprendinius nefizikiniais, kaip, pvz., chronologijos apsaugos hipotezėje3).

Neseniai panašumas tarp uždarų laiko kilpų ir kvantinių teleportacinių sąveikų, kaip aprašė S. Lloyd‘as4) ir kiti, leido teigti, kad el. dalelių susietos būsenos gali būti perkeliamos į praeitį. Laboratoriniai bandymai siunčiant per 10-9 atgal, parodė, kad dalelė negali pakankamai nukreipti teleportuotos savęs išvengiant jos pasirinkimo, kas rodo senelio paradokso, kai per kelionę laiku galima nužudyti savo senelį, negalimumą.

Buvo atliekami eksperimentai ateivių iš ateities aptikimui. 2005 m. gegužę MIT studentas A. Dorai paskelbė susitikimą atokiems ateiviams, tačiau nė vienas nepasirodė. Panašų bandymą atliko S. Hokingas 2012 m. liepą su tokiais pat rezultatais. O 2013 m. R. Nemirovas ir T. Wilson atvykėlių iš ateities pėdsakų ieškojo internete (apie tai skaitykite >>>>>).

Parengė Cpt.Astera's Advisor

Papildoma literatūra:

  1. J.C. Hafele, R.E. Keating. Around-the-World Atomic Clocks: Observed Relativistic Time Gains// Science, 1972, no. 177, p.168-170
  2. S. Hawking. The chronology protection conjecture// Phys Rev D, 1992, no. 46, p. 603-61
  3. S. Lloyd. Closed Timelike Curves via Postselection: Theory and Experimental Test of Consistency// Physical Review Letters 106: 040403
  4. M. Peplow. Time travelers snub conference// Nature, 2005 May 11
  5. S.Hawking. Stephen Hawking - Time Traveller's Party// Discovery Communications, 2011
  6. R.J. Nemiroff, T.Wilson. Searching the Internet for evidence of time travelers

1) Samuelis Madenas (Samuel Madden, 1686-1765) – airių rašytojas. Parašė tragediją „Temistoklis“ (1729), „Dvidešimto amžiaus memuarus“ (1733) – vieną ankstyvųjų fantastikos kūrinių, „Apmąstymai ir sprendimai verti airių džentelmenams“ (1738), kuriame aprašo blogas gyvenimo Airijoje sąlygas ir kt.

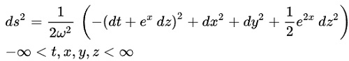
2) Giodelio metrika arba visata - K. Giodelio 1949 m. surastas tikslus bendrosios reliatyvumo teorijos lygčių sprendinys, kylantis iš energijos-impulso tenzoriaus, sudaryto iš dviejų dalių: vienodai pasiskirsčiusių besisukančių dulkių materijos tankio ir nenulinės kosmologinės konstantos. Šis sprendinys pasižymi kai kuriomis keistomis savybėmis, pvz., leidžia egzistuoti uždaroms laiko panašumą turinčioms linijoms, įgalinančius kai kuriuos keliavimo laiku būdus. Kaip kosmologinis sprendimas ši metrika atrodo kiek dirbtina, nes kosmologinės konstantos reikšmei tiksliai nustatoma, kad atitiktų dulkių tankį. Tačiau paėmę galaktikas kaip dulkių daleles, gausime kosmologinį besisukančios Visatos modelį, kuriame nėra E. Hablo atrasto Visatos plėtimosi - tad jis neatitinka tikrovės, tačiau puikiai tinka alternatyvios Visatos iliustracijai.
Kaip ir bet kuris Lorenco erdvėlaikis, Giodelio sprendimą galima pateikti metrikos tenzoriumi lokalių koordinačių sistemoje:
Godelio metrika
kur w - nenulinė reali konstanta perteikianti kampinį greitį, matuojamą nesisukančio stebėtojo, judančio kartu su viena iš dulkių dalelių.

3) Chronologijos apsaugos hipotezė, teigianti, kad fizikos dėsniai tokie, kad neleistų kelionių laiku bet kokiais masteliais, išskyrus submikroskopinius, pirmąkart pasiūlyta S. Hokingo 1992-ais. Ji skiriasi nuo kosminės cenzūros hipotezės, pagal kurią kiekviena uždara laiko panašumą turinti kreivė praeina pro įvykių horizontą, kuris gali neleisti stebėtojui pastebėti priežastinio pažeidimo (dar vadinamo chronologijos pažeidimu). Hokingas apeliavo, kad turėtų būti Chronologijos apsaugos agentūra, draudžianti keliones laiku, tuo pačiu ir su jomis susijusius paradoksus. Atrodo idėja kilusi iš fantastikos kūrinių, tokių kaip P. Anderseno „Laiko patrulis“ ar I. Azimovo „Begalybės pabaiga“.

4) Setas Loidas (Seth Lloyd, g. 1960 m.) – amerikiečių mechaninės inžinerijos ir fizikos mokslininkas, MIT profesorius, save vadinantis „kvantiniu mechaniku“. Jo mokslinių interesų sritis apima informacinė sąveiką sudėtingose, atskiru atveju, kvantinėse, sistemose. Jis išsakė prielaidą apie kvantinio kompiuterio sukūrimą, įrodė Šenono teoremą kvantiniams skaičiavimams ir sukūrė naujus metodus kvantinių klaidų taisymui ir triukšmo lygio sumažinimui. Knygoje „Programuojant Visatą“ (2006) teigia, kad Visata pati savaime yra vienas didelis kvantinis kompiuteris, sukuriantis viską, ką regim aplink, įskaitant ir mus pačius. Visata veikia kaip milžiniška kosminė programa – ir tik pilnai įsisavinę kvantinių skaičiavimų esmę, pajėgsime suprasti Visatą.


Keistas nutikimas

Vladimiras Smirnovas tapo dailininku prieš visas taisykles – Rusijoje jo nepriėmė nė į vieną meno mokyklą, nė vieną studiją. Kai jo parodoje meras Jurijus Lužkovas paklausė Vladimiro apie gyvenimo ir kūrybinį kelią, tas sumišęs nusišypsojo ir iš savo aukštumų (1,9 m ūgio) ištarė:
- Niekur nesimokiau. Jaunystėje perpaišydavau asignacijas ir obligacijas. Taip, savo malonumui.

Meras nusijuokė; menininkas pridūrė, kad jis tai darė ne iš godumo, o iš domėjimosi tikslia technika.

Sunkoka įsivaizduoti vaikino, atvykusio iš pakraščių, Belorečensko, kur gimė 6-me dešimtmetyje, į sostinę be grašio kišenėje, vedamas vieno troškimo – tapyti. Veltui trypė mokyklų ir studijų slenksčius. Dėl savo dvasinių ypatybių net draugų mokykloje laikytas keistuoliu ir, atitinkamai, mokyklą baigė per stebuklą. Nuo vaikystės tikėjo Visatos pasauliais su protingais jų gyventojais. Ant šieno savo gimtajame kaime valandas mintimis ir balsu kalbėjosi su žvaigždėmis, tarsi gyvomis būtybėmis. Atrodė, kad jos jį mato ir jo klausosi, netgi atsakydamos siunčia spindulius ar keičia spalvą. Vaizduotę kaitino krintančios žvaigždės – jos skrido pas jį į svečius.

- Tada buvau toks mažas, kad dar nieko nežinojau apie meteorus, - pastebi prabėgšmom. – Ir dabar mėgstu stebėti Paukščių taką, o šviečiant pilnam Mėnuliui atlapoju langus. Užmigęs regiu būsimus savo paveikslus, vėliau juos tapau be eskizų ir bandymų.
Feast at Kremlin
Šventė Kremliuje

Vladimiras tapo ne kaip impresionistai – jų drobėse lieka spalvoti taškai, o jo – molekulės. Ir kartu jis realistas. Kaip jis tai pasiekė? Pagrindinė Vladimiro paslaptis – kelionės laike. Tai ne vaizdinys. Iš to kyla jo istoriniai-kosminiai paveikslai, dažniausiai tikslūs iki smulkmenų.

Jis buvojo Atėnuose Eliadės klestėjimo laikais. Matė, kad Akropolio šventyklos sudaro vientisą visumą. Jį jaudino atspindžių ir spalvų žaismo gama ant kolonų ir skulptūrų, Propilėjas puošusios žiedų girliandos, kur vyrai, atėję į šią senovinę šventovę, lenkėsi dievams, bet kitaip nei krikščionys: jie iš makščių išsitraukdavo kalavijus ir prisiekdavo, o tada, įeidami į šventąją Atėnų teritoriją, atiduodavo ginklą senoliams.

Jis matė milžiniškas Akropolio skulptūras. Jų kūnai buvo kiek tonuoti. Veidai išdažyti šventiškai šviežiais dažais. Aplink gėlės ir vynuogės, vaisiai ir kitos gamtos dovanos. Svarbus faktas: tada Parfenono sienos buvo padengtos mozaika – ištisas pano mitologinėmis temomis. Kai jis ją apžiūrinėjo, žvilgsniu aukštyn ir žemyn, kolonos lenkėsi ir judėjo. Aišku, tai iliuzija. Parfenone prieš Atėnę pasivaideno milžiniškas veidrodis. Tai buvo paauksuotas marmurinis baseinas. Jo vanduo padengta kažkokio aliejaus plėvele. Jame atsispindėjo Atėnė ir dievai. Šventyklos lubos priminė planetariumą, tik jis buvo, aišku, stačiakampis, su nepažįstamomis žvaigždėmis. Ir viskas atsispindėjo baseine.

Su dailininku atliko eksperimentą, kuriam jis sutiko: užrašė jo biosroves jam būnant senovės Atėnuose. O po to jis 10 d. sunkiai suvokė aplinką: jo vos nepartrenkė mašina, vos liko gyvas, kai iškrito iš balkono. Ten, Atėnuose, dingo visi realūs suvokimai apie mūsų pasaulio atstumus ir matus. Jis prisimena: „Ekspertai mane apkrovė laidais ir davikliais – ir seansas prasidėjo. Prieš mane dideliame ekrane buvo švytintis Balkanų pusiasalio žemėlapis: man reikėjo persikelti į senovės Atėnus ir Pirėjų. Mane perspėjo, kad bet kokį išsigalvojimą prietaisai iškart užfiksuos. Po kurio laiko tikrovė išsitrynė iš atminties. Prieš akis atsivėrė nuostabus miestas. Jaučiu šilumą, sklindančią nuo žemės. Pažvelgiu žemyn: po kojomis saulės įšildytos plokštės. Pasakoju apie šventyklas, pro kurias einu, žmones, apsakau drabužius, papuošalus“. Mokslininkai buvo priblokšti regėjimų aiškumu ir moksliniu tikslumu. Matyt vis tik pasitvirtina V. Vernadskio spėjimas apie noosferą – Žemės minčių apvalkalą, kuriame saugoma visa žmonijos istorijoje. Kai kam pavyksta prie jo prisijungti.

Praėjo 9 m. Jis su šeima keliavo po Europą. Ir štai į šiandienos Atėnus pateko įprastiniu būdu. Akropolis buvo visai realus: akmenys iš senovės ir griuvėsiai. Staiga ... akmenuotame takelyje už posūkio pasirodė senas graikas, irgi visai realus. Tačiau kas tai? Jis Vladimirui siūlo pirkti reprodukciją. Dailininkas sustingo. Reprodukcijoje Psenukoartenonas su mozaika ant sienų, panašia į tą, kurį jis regėjo kadaise. Turėjo graikas daug kitų reprodukcijų, tačiau tik viena jų pribloškė dailininką. Jis negalėjo jos nusipirkti – kaina buvo per didelė. Tačiau, išsitraukęs fotoaparatą, ėmė ją fotografuoti. Viešbutyje iškart išryškino juostelę. Pasirodė, kad jo firminis „Nikon“ nieko nenufotografavo. Visi kadrai buvo apšviesti...


My home - Earth
Mano namai - Žemė

Vladimiras Borisovičius Smirnovas  

V. Smirnovas gimė 1953 m. birželio 11 d. Krasnodaro krašto Belorečensko mieste. Dirbti pradėjo darbininku-gręžėju Maskvos Lichačiovo vardo automobilių gamykloje (ZIL‘e), vėliau ZIL‘e dirbo dailininku- apipavidalintoju ir dailininku-architektoriumi. Nuo 1978 m. UNESCO dailininkų federacijos narys. Dauguma jo paveikslų yra kultūros paveldo senovės miestų vaizdai (tame tarpe ir Maskvos 850-mečiui skirtas ciklas). Kūriniai eksponuoti per 100 parodų Rusijoje ir užsienyje, yra Švedijos, Portugalijos, Maltos, popiežiaus, R. Reigano, Čiubaiso ir kt. kolekcijose. Mėgsta keliauti, gyveno ir dirbo Portugalijoje, Prancūzijoje, Ispanijoje, Italijoje, Graikijoje ir kt. Domisi ufologija, Žemės noosferos tyrinėjimais bei pasaulinio vandenyno energetika, smegenų veikla. Šiomis temomis paskelbė nemažai straipsnių.

Papildomai skaitykite:
Laiko fenomenas
Kas yra tas laikas?
Visatos švytuoklė
Lygiagrečios visatos
Labai prasta balerina
Trumpa laiko istorija
Mitas apie laiko pradžią
Ko neįmanoma įsivaizduoti?
Ką rodo laiko rodyklė?
Atsakymai apie erdvę ir laiką
Kaip sukurti laiko mašiną?
Laiko vertė ir matas
Papildomas matavimas
Įvykių prisiminimas laike
Paulio draudimo principas
Vieningo lauko teorija
NSO tyrinėjimai Rusijoje
Mūsų smegenys ir yra Visata
Amžinas judėjimas laiko kristaluose
Erdvės ir laiko sampratos transformacija
Kas padėjo tamsiosios materijos supratimui
Naujos galimybės žvaigždėlaivio pavarai
Stivenas Hokingas – nenurimstantis invalidas
Kvantinė mechanika: triumfas ar ribotumas?
Tarpžvaigždinio skrydžio ir kontakto įvertinimas
Šriodingerio katė, kuri nenorėjo mirti
Vaišešika: Atomai (paramanavas)
Laiko tėkmės pakeitimai
Nepaprasti Visatos skaičiai
Gyvenimas po mirties
Ajurveda. Himnas laikui
Gyvenimas po tikrovės
Hipotezės: sliekangės
V. Vernadskio noosfera
Paslaptingi dingimai
Laivas-vaiduoklis
Visatos modeliai

NSO apsireiškimai ir neįprasti fenomenai Lietuvos danguje ir po juo

Maloniai pasitiksime žinias apie bet kokius Jūsų pastebėtus sunkiai paaiškinamus reiškinius. Juos prašome siųsti el.paštu: san-taka@lithuanian.net arba pateikti šiame puslapyje.

san-taka station

UFO sightings and other phenomenas in/under Lithuanian sky. Please inform us about everything you noticed and find unexplainable in the night sky or even during your night dreams, or in the other fields of life.

Review of our site in English

NSO.LT svetainė
Vartiklis